Tabel Transformasi Laplace. L [e−at f (t)] = f(s + a) 12. Sn+1 (11) tx (x 1 2r) ( x+ 1) sx+1 (12) sinkt k s2 + k2. Tentukan transformasi laplace dari f (t) = sin at jawab : F ( s) = ℒ { f ( t)} = ℒ {3 t + 2 t 2} = 3ℒ { t} + 2ℒ { t 2} = 3 / s 2 + 4 / s 3 contoh # 2.
Uitgebreide tabel laplace sin at sin at 11 Table of From studeersnel.nl
Tentukan transformasi laplace dari fungsi ini f sin2t. Xii daftar gambar gambar 2.1 tekanan pada kedalaman h di dalam suatu cairan, akibat berat cairan. Transformasi laplace dari integral jika fungsi g (t) adalah integral dari fungsi f (τ), g (t) = t 0 f (τ)dτ, (15) f (τ) = dg (t) dτ , atau f (τ) = g (t). L [10 sin 4t + 4t2] jawab: L [t2 f (t)] = ( ) 2 2 f s ds d 15. • persamaan yang diperoleh dalam kawasan s tersebut adalah persamaan aljabar dari variabel s yang merupakan operator laplace.
Tabel 2.4 invers transformasi laplace dari beberapa fungsi.56.
Contoh transformasi laplace contoh 1. 11 deret fourier 1 9 contoh soal transformasi lapace 5 8 transformasi laplace 5 7 transformasi lapalce 4 tabel transformasi lap. Penyelesaian persamaan linear dengan matlab. L [tf (t)] = ds df (s) − 14. Utk mencari konstanta a, b dpt dicari dgn cara : Jika st gelombang sinyal di kawasan waktu dinyatakan dgn f (t), t >= 0, mk dgn transformasi laplace (tl) dpt ditentukan st gelambang sinyal di kawasan s, yaitu f (s) dan didefinisikan :
Source: skuylahhu.com
Tentukan transformasi laplace dari f (t) = sin at jawab : Dttfdttf b b ) (lim) ( 00 2 1. Jika tidak, kita harus membaginya terlebih dahulu. Tentukanlah transformasi lapalce invers : 11 deret fourier 1 9 contoh soal transformasi lapace 5 8 transformasi laplace 5 7 transformasi lapalce 4 tabel transformasi lap.
Source: rmv-inblog.blogspot.com
• persamaan yang diperoleh dalam kawasan s tersebut adalah persamaan aljabar dari variabel s yang merupakan operator laplace. Jawaban contoh soal transformasi laplace 1. Tentukan transformasi laplace dari fungsi ini f sin2t. Utk mencari konstanta a, b dpt dicari dgn cara : L [e−at f (t)] = f(s + a) 12.
Source: slideserve.com
2 1 s t kt ()2 1 1 1 − − −z tz 6. Suatu kelebihan metode transformasi lapalace adalah bahwa metode ini memungkinkan penggunaan teknik grafis untuk meramal kinerja sistem tanpa menyelesaikan persamaan diferensial sistem. • persamaan yang diperoleh dalam kawasan s tersebut adalah persamaan aljabar dari variabel s yang merupakan operator laplace. + 𝒚 = − 𝒚 =𝐜 𝐬 𝝎 +𝝎 𝒚 =𝐬𝐢 𝝎 𝝎 +𝝎 transformasi laplace fungsi sederhana (lanjutan) S 1 1(t) 1(k) 1 1 1 −z− 4.
Source: scribd.com
L [tf (t)] = ds df (s) − 14. (16) transformasi laplace persamaan (16) menghasilkan, l [f (τ)] = l [g (t)] = sl [g (t)] − g (0), memindah ruaskan g (0) menghasilkan, sl [g (t)] = l [g (t)] + g (0). Dengan menggunakan tabel transformasi laplace di frame 6. 3 2 s t2 (kt)2 ()1 3 2 1 1 1 1 − − − − + z t z z 7. ℒ { t} = 1 / dtk 2.
Source: scribd.com
Dengan menggunakan tabel transformasi laplace di frame 6. ℒ { t 2} = 2 / dtk 3. Tentukan transformasi laplace dari fungsi ini f sin2t. Transformasi laplace skripsi diajukan untuk memenuhi syarat meraih gelar sarjana matematika jurusan matematika fakultas sains dan teknologi. Integral tak wajar yang didefinisikan oleh, dikatakan konvergen, bila limit pada ruas kanan ada.
Source: fadhlifarsa.blogspot.com
We give as wide a variety of laplace transforms as possible including some that aren’t often given in tables of laplace transforms. Tentukan transformasi laplace dari f (t) = sin at jawab : ℒ { t} = 1 / dtk 2. + 𝒚 = − 𝒚 =𝐜 𝐬 𝝎 +𝝎 𝒚 =𝐬𝐢 𝝎 𝝎 +𝝎 transformasi laplace fungsi sederhana (lanjutan) S 1 1(t) 1(k) 1 1 1 −z− 4.
Source: id.123dok.com
Jika tidak, kita harus membaginya terlebih dahulu. Tentukan transformasi laplace dari fungsi ini f sin2t. Temukan transformasi dari f (t): Pengertian integral tak wajar andaikan fungsi f terdefinisikan untuk t ≥ 0. • untuk mempermudah proses transformasi dapat digunakan tabel transformasi laplace.
Source: ddifferentsoftwaressblogu.blogspot.com
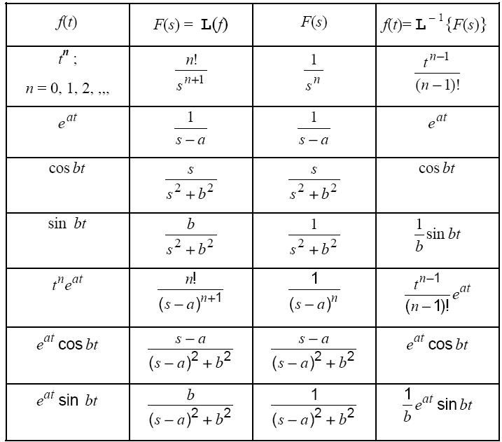
L [e−at f (t)] = f(s + a) 12. Transformasi laplace invers dari suatu pengurangan adalah pengurangan dari transformasi transformasi laplace inversnya. L [t2 f (t)] = ( ) 2 2 f s ds d 15. Bila integral tak wajar 0 e f t dtst ( ) ∞ ∫ − konvergen ke suatu fungsi f s( ) , maka f s( ) disebut transformasi laplace dari f t( ) dan dinyatakan dengan l {f t( )}. Tabel 3.1 tabel transformasi laplace no f(t) f(s) 1 t 1 2 1 s 1 3 t 2 1 s 4 ( 1) 1 n tn sn 1
Source: slideshare.net
Kelebihan lain metode transformasi laplace Tabel 3.1 tabel transformasi laplace no f(t) f(s) 1 t 1 2 1 s 1 3 t 2 1 s 4 ( 1) 1 n tn sn 1 Temukan transformasi kebalikan dari f (s): Transformasi laplace skripsi diajukan untuk memenuhi syarat meraih gelar sarjana matematika jurusan matematika fakultas sains dan teknologi. L [10 sin 4t + 4t2] = l[10sin 4t] l[4t2] 10l[sin 4t] 4l[t2] = 10.
Source: slideshare.net
This section is the table of laplace transforms that we’ll be using in the material. • persamaan yang diperoleh dalam kawasan s tersebut adalah persamaan aljabar dari variabel s yang merupakan operator laplace. Jawaban contoh soal transformasi laplace 1. Pengertian integral tak wajar andaikan fungsi f terdefinisikan untuk t ≥ 0. Integral tak wajar yang didefinisikan oleh, dikatakan konvergen, bila limit pada ruas kanan ada.
Source: marsheragadeafinex.blogspot.com
Transformasi laplace dapat digunakan untuk menyatakan model matematis dari sistem linier waktu kontinu tak ubah waktu. Sn+1 (11) tx (x 1 2r) ( x+ 1) sx+1 (12) sinkt k s2 + k2. (16) transformasi laplace persamaan (16) menghasilkan, l [f (τ)] = l [g (t)] = sl [g (t)] − g (0), memindah ruaskan g (0) menghasilkan, sl [g (t)] = l [g (t)] + g (0). Transformasi laplace dapat menyelesaikan penyelesaian persamaan differensial sistem linier waktu kontinu tak ubah waktu, transformasi laplace dapat digunakan untuk mencari kestabilan sistem linier waktu kontinu tak ubah waktu Penyelesaian transformasi laplace dan diferensial.
Source: es.slideshare.net
3 2 s t2 (kt)2 ()1 3 2 1 1 1 1 − − − − + z t z z 7. Transformasi laplace beberapa fungsi sederhana fungsi f(t) transformasi laplace f(s) 𝒚 =𝑪 𝑪 𝒚 = 𝒚 = ! 11 deret fourier 1 9 contoh soal transformasi lapace 5 8 transformasi laplace 5 7 transformasi lapalce 4 tabel transformasi lap. Penyelesaian transformasi laplace dan diferensial. L [t2 f (t)] = ( ) 2 2 f s ds d 15.
Source: scribd.com
L [10 sin 4t + 4t2] = l[10sin 4t] l[4t2] 10l[sin 4t] 4l[t2] = 10. Jadi transformasi laplace untuk turunan dari fx diberikan dalam bentuk transformasi laplace dari fx itu sendiri dan nilai dari fx untuk x 0. L [tf (t)] = ds df (s) − 14. Tabel 3.1 tabel transformasi laplace no f(t) f(s) 1 t 1 2 1 s 1 3 t 2 1 s 4 ( 1) 1 n tn sn 1 4 6 s t3 (kt)3 ()1 4 3 1 1 2 1 1 4 − − − − − + + z t z z z 8.
Source: fadhlifarsa.blogspot.com
Table of laplace transforms rememberthatweconsiderallfunctions(signals)asdeflnedonlyont‚0. Membuat program simulasi lampu lalu lintas dengan. Transformasi laplace dapat digunakan untuk menyatakan model matematis dari sistem linier waktu kontinu tak ubah waktu. Dttfdttf b b ) (lim) ( 00 2 1. Transformasi laplace adalah nilai dari fungsi tersebut dibagi dengan s.
Source: khoirummuslihah.blogspot.com
Tentukan transformasi laplace dari f (t) = sin at jawab : Kelebihan lain metode transformasi laplace Transformasi laplace skripsi diajukan untuk memenuhi syarat meraih gelar sarjana matematika jurusan matematika fakultas sains dan teknologi. Temukan transformasi dari f (t): Definisi 1.1 misalkan f t( ) suatu fungsi yang didefinisikan untuk t ≥ 0.
Source: blog.ub.ac.id
Transformasi laplace beberapa fungsi sederhana fungsi f(t) transformasi laplace f(s) 𝒚 =𝑪 𝑪 𝒚 = 𝒚 = ! Xii daftar gambar gambar 2.1 tekanan pada kedalaman h di dalam suatu cairan, akibat berat cairan. Penyelesaian transformasi laplace dan diferensial. Table of laplace transforms f(t) l[f(t)] = f(s) 1 1 s (1) eatf(t) f(s a) (2) u(t a) e as s (3) f(t a)u(t a) e asf(s) (4) (t) 1 (5) (t stt 0) e 0 (6) tnf(t) ( 1)n dnf(s) dsn (7) f0(t) sf(s) f(0) (8) fn(t) snf(s) s(n 1)f(0) (fn 1)(0) (9) z t 0 f(x)g(t x)dx f(s)g(s) (10) tn (n= 0;1;2;:::) n! Transformasi laplace dapat menyelesaikan penyelesaian persamaan differensial sistem linier waktu kontinu tak ubah waktu, transformasi laplace dapat digunakan untuk mencari kestabilan sistem linier waktu kontinu tak ubah waktu
Source: slideshare.net
• untuk mempermudah proses transformasi dapat digunakan tabel transformasi laplace. 11 deret fourier 1 9 contoh soal transformasi lapace 5 8 transformasi laplace 5 7 transformasi lapalce 4 tabel transformasi lap. L [tf (t)] = ds df (s) − 14. Xii daftar gambar gambar 2.1 tekanan pada kedalaman h di dalam suatu cairan, akibat berat cairan. Transformasi laplace beberapa fungsi sederhana fungsi f(t) transformasi laplace f(s) 𝒚 =𝑪 𝑪 𝒚 = 𝒚 = !
Source: slideshare.net
F (t) dari fungsi berikut : Yygang sering terjadi pada transformasi laplace. Transformasi laplace skripsi diajukan untuk memenuhi syarat meraih gelar sarjana matematika jurusan matematika fakultas sains dan teknologi. Jika tidak, kita harus membaginya terlebih dahulu. Transformasi laplace adalah nilai dari fungsi tersebut dibagi dengan s.
This site is an open community for users to share their favorite wallpapers on the internet, all images or pictures in this website are for personal wallpaper use only, it is stricly prohibited to use this wallpaper for commercial purposes, if you are the author and find this image is shared without your permission, please kindly raise a DMCA report to Us.
If you find this site helpful, please support us by sharing this posts to your own social media accounts like Facebook, Instagram and so on or you can also bookmark this blog page with the title tabel transformasi laplace by using Ctrl + D for devices a laptop with a Windows operating system or Command + D for laptops with an Apple operating system. If you use a smartphone, you can also use the drawer menu of the browser you are using. Whether it’s a Windows, Mac, iOS or Android operating system, you will still be able to bookmark this website.




