Rumus Invers Matriks 2x2. Sebelum saya membahas perihal rumus invers matriks ordo 2x2 dan ordo 3x3 beserta tumpuan soal invers matriksnya. Invers matriks ordo 2x2 suatu matriks persegi memiliki invers, dimana invers matriks adalah kebalikan dari matriks tersebut. Rumus matriks invers selamat datang di website kami. Buatlah matriks a berordo 2x2 yang memiliki invers matriks a.
rumus invers matriks ordo 3x3 Brainly.co.id From brainly.co.id
Bahan matriks dibagi menjadi beberapa jenis sebagai matriks penentu dari matriks terbalik matriks yang berdekatan dan sebagainya. Pengertian dari matriks sendiri adalah susunan angka konstanta maupun variabel yang disusun berdasarkan baris dan kolom dalam tanda kurung siku. Beberapa matriks termasuk dalam matriks khusus dan punya rumus cepat determinanya. Sebelum saya membahas perihal rumus invers matriks ordo 2x2 dan ordo 3x3 beserta tumpuan soal invers matriksnya. Biasanya invers matriks di tingkat sekolah menyinggung soal invers matriks ordo 2 x 2 dan invers matriks ordo 3 x 3. Rumus matriks invers selamat datang di website kami.
Berikut ini adalah rumus matriks invers :
Determinan matriks ordo 2×2 3×3 nxn dan contoh soalnya. Pada file tersebut saya membuatnya untuk 4 cara mencari invers matriks 3x3, untuk matriks lain dengan ordo 2x2 atau 4x4 anda dapat. Berikut ini akan kami jelaskan secara lengkap tentang rumus fungsi suatu invers, untuk lebih jelasnya Invers matriks terdiri dari dua jenis, yaitu matriks persegi (2×2) dan matriks 3×3. Materi invers matematika ini berisi rumus invers matriks dan contoh soal invers matriks, baik ordo 2×2 maupun ordo 3×3. Bahan matriks dibagi menjadi beberapa jenis sebagai matriks penentu dari matriks terbalik matriks yang berdekatan dan sebagainya.
Source: gurusdsmpsma.blogspot.com
Invers matriks terdiri dari dua jenis, yaitu matriks persegi (2×2) dan matriks 3×3. C) matriks c tidak punya invers karena det (c)=0. Matriks kofaktor adalah matriks yang elemennya diganti dengan nilai determinan yang unsurnya tidak sebaris dan tidak sekolom maka matriks adjoin nya menjadi soal dan pembahasan penyelesaian spltv halaman all. Kami menemukan berbagai contoh masalah seperti perkalian matriks invers 33 atau matriks invers 22 pada matriks invers 44. Persamaan ab = ba = i 2 maka matriks a adalah matriks invers dari matriks.
Source: cermatmatematika.web.app
2 transpose dan invers matriks. Materi pengertian jenis sifat rumus invers matriks 3x3 2x2 dan contoh soal serta pembahasannya lengkap. Beberapa matriks termasuk dalam matriks khusus dan punya rumus cepat determinanya. Untuk lebih memahaminya, berikut penjelasan mengenai rumus invers. Homepage » rumus » pembuktian rumus invers matriks 2x2.
Source: rumus.co.id
2 transpose dan invers matriks. Seperti yang telah kita ketahui bahwa aljabar terdapat penggunaan kata terbalik didalamnya. Sebelum masuk kerumus excel seperti biasa akan admin jelaskan cara mencari invers matrik secara manual. Lanjut ke invers matriks ordo 3x3 yuk! Invers matriks ordo 3x3 dengan adjoin
Source: brainly.co.id
Sebelum masuk kerumus excel seperti biasa akan admin jelaskan cara mencari invers matrik secara manual. 29++ contoh soal adjoin matriks 2x2. B = c maka : Maka dari itu kami akan membahasnya secara lengkap. Berikut ini akan kami jelaskan secara lengkap tentang rumus fungsi suatu invers, untuk lebih jelasnya
Source: contohsoalterbaik.blogspot.com
Faktanya metode dan metode penyelesaian masalah dengan matriks tidak jauh berbeda sampai anda memahami rumus matriks terbalik. Pada matriks tidak ada operasi pembagian, dan diganti dengan invers matriks. Contoh soal invers matriks ordo 3x3 dan jawabannya buatlah. Matriks singular tidak mempunyai invers/ balikan. Kami menemukan berbagai contoh masalah seperti perkalian matriks invers 33 atau matriks invers 22 pada matriks invers 44.
Source: python-belajar.github.io
Contoh soal invers matriks ordo 3x3 dan jawabannya buatlah. Maka dari itu kami akan membahasnya secara lengkap. Makalah invers matriks 2x2 dan 3x3, contoh soal, jawaban, penjelasannya, contoh matriks, adjoin, determinan, materi pembelajaran, matriks ordo. Baca juga cara menghitung determinan matriks 3x3 Invers matriks terdiri dari dua jenis, yaitu matriks persegi (2×2) dan matriks 3×3.
Source: gurupaud.my.id
Invers matriks dapat didefinisikan sebagai berikut. Untuk lebih memahaminya, berikut penjelasan mengenai rumus invers. Dalam matriks kita juga mengenal operasi hitung jumlah, kurang, dan kali. C) matriks c tidak punya invers karena det (c)=0. Pengertian dari matriks sendiri adalah susunan angka konstanta maupun variabel yang disusun berdasarkan baris dan kolom dalam tanda kurung siku.
Source: brainly.co.id
Coba selesaikan soal perkalian matriks 2x2 di bawah ini dengan mengikuti cara perkalian yang tergambar di skema perkalian antar matik dan mengikuti kaidah matriks. Terima kasih telah berkunjung ke blog berbagi contoh soal 2019. Misalkan a dan b adalah dua matriks yang berordo 2 × 2 dan memenuhi. Bahan matriks dibagi menjadi beberapa jenis sebagai matriks penentu dari matriks terbalik matriks yang berdekatan dan sebagainya. Mungkin ada yang sedikit asing dengan materi ini.
Source: mathlabs88.blogspot.com
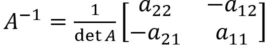
Untuk menentukan rumus invers suatu matriks berordo 2×2 sebagai berikut ini : Coba selesaikan soal perkalian matriks 2x2 di bawah ini dengan mengikuti cara perkalian yang tergambar di skema perkalian antar matik dan mengikuti kaidah matriks. Matriks inverse ordo 2 x 2. Untuk memahami rumus determinan matriks berordo 3 x 3 diatas, silahkan simak contoh di bawah ini: Sehingga invers matriks ordo 2x2 dapat dituliskan sebagai.
Source: belajarmtk.com
Maka dari itu kami akan membahasnya secara lengkap. Sebelum masuk kerumus excel seperti biasa akan admin jelaskan cara mencari invers matrik secara manual. Hal ini juga berlaku dalam pembelajaran. Berikut ini rumus mencari invers matriks ordo 2×2 secara matematik : Cara mencari invers matriks ordo 2x2, cara mencari invers matriks ordo 3x3, contoh soal invers matriks dan pembahasannya.
Source: lifesiswabelajar.blogspot.com
Misalkan a dan b adalah dua matriks yang berordo 2 × 2 dan memenuhi. Maka dari itu kami akan membahasnya secara lengkap. Determinan matriks a (det a) dapat ditentukan menggunakan rumus: Agar lebih paham perhatikan contoh soal di bawah ini ! Misalkan a dan b adalah dua matriks yang berordo 2 × 2 dan memenuhi.
Source: wwwlensanews.blogspot.com
Invers matriks ordo 2x2 suatu matriks persegi memiliki invers, dimana invers matriks adalah kebalikan dari matriks tersebut. Coba selesaikan soal perkalian matriks 2x2 di bawah ini dengan mengikuti cara perkalian yang tergambar di skema perkalian antar matik dan mengikuti kaidah matriks. Demikianlah artikel dari dosenmipa.com mengenai invers matriks, semoga artikel ini bermanfaat bagi anda semuanya. Sebelum masuk kerumus excel seperti biasa akan admin jelaskan cara mencari invers matrik secara manual. Maka dari itu kami akan membahasnya secara lengkap.
Source: caraharian.com
Tidak semua matriks memiliki invers. Sebelum saya membahas perihal rumus invers matriks ordo 2x2 dan ordo 3x3 beserta tumpuan soal invers matriksnya. Rumus contoh soal dan pembahasan perkalian matriks. By admin jumat, 27 maret 2020 add comment. Tidak semua matriks memiliki invers.
Source: mathlabs88.blogspot.com
Matriks inverse ordo 2 x 2. Agar lebih paham perhatikan contoh soal di bawah ini ! Berikut ini akan kami jelaskan secara lengkap tentang rumus fungsi suatu invers, untuk lebih jelasnya Demikianlah pembahasan yang dapat kami sampaikan mengenai contoh soal invers matriks ordo 2x2 beserta jawabannya. Invers matriks ordo 2x2 suatu matriks persegi memiliki invers, dimana invers matriks adalah kebalikan dari matriks tersebut.
Source: mtk.arkus.my.id
Sebelum masuk kerumus excel seperti biasa akan admin jelaskan cara mencari invers matrik secara manual. C) matriks c tidak punya invers karena det (c)=0. Biasanya invers matriks di tingkat sekolah menyinggung soal invers matriks ordo 2 x 2 dan invers matriks ordo 3 x 3. Determinan matriks a (det a) dapat ditentukan menggunakan rumus: Sehingga invers matriks ordo 2x2 dapat dituliskan sebagai.
Source: berkaspendidikanpdf.blogspot.com
Invers dari suatu matriks berordo 2 x 2 seperti dapat dirumuskan sebagai. Sebelum saya membahas perihal rumus invers matriks ordo 2x2 dan ordo 3x3 beserta tumpuan soal invers matriksnya. Invers matriks dapat didefinisikan sebagai berikut. Substitusi, parsial, pengertian dan contohnya. 29++ contoh soal adjoin matriks 2x2.
Source: teamhannamy.blogspot.com
Pengertian dari matriks sendiri adalah susunan angka konstanta maupun variabel yang disusun berdasarkan baris dan kolom dalam tanda kurung siku. Terima kasih telah berkunjung ke blog berbagi contoh soal 2019. Pada file tersebut saya membuatnya untuk 4 cara mencari invers matriks 3x3, untuk matriks lain dengan ordo 2x2 atau 4x4 anda dapat. Matriks inverse ordo 2 x 2. Pin on kaldik 20 21 smp dengan menggunakan rumus penjelasan persamaan.
Source: mathlabs88.blogspot.com
Pengertian dari matriks sendiri adalah susunan angka konstanta maupun variabel yang disusun berdasarkan baris dan kolom dalam tanda kurung siku. Misalnya kebalikan dari 2 ialah 1/2, kebalikan bilangan rasional a ialah 1/a dan sebagainya. 2 transpose dan invers matriks. C) matriks c tidak punya invers karena det (c)=0. Kami tidak hanya membahas rumus invers matriks saja, namun juga memberikan contoh soal yang bertujuan memudahkan anda dalam memahami materi ini.
This site is an open community for users to share their favorite wallpapers on the internet, all images or pictures in this website are for personal wallpaper use only, it is stricly prohibited to use this wallpaper for commercial purposes, if you are the author and find this image is shared without your permission, please kindly raise a DMCA report to Us.
If you find this site adventageous, please support us by sharing this posts to your favorite social media accounts like Facebook, Instagram and so on or you can also bookmark this blog page with the title rumus invers matriks 2x2 by using Ctrl + D for devices a laptop with a Windows operating system or Command + D for laptops with an Apple operating system. If you use a smartphone, you can also use the drawer menu of the browser you are using. Whether it’s a Windows, Mac, iOS or Android operating system, you will still be able to bookmark this website.


