Persamaan Diferensial Orde 1. 2 x y d y d x − y 2 = x 2 ⇔ d y d x − y 2 2 x y = x 2 2 x y ⇔ d y d x − 1 2 x y = x 2 y − 1. Mengenali bentuk pd orde satu dengan variabel terpisah dan tak terpisah. #a#penjumlahan jawaban “homogen dan parsial/partikuler”; Menyebutkan tingkat dan pangkat suatu persamaan diferensial yang diberikan;
14+ Contoh Soal Persamaan Diferensial Orde Satu Kumpulan From teamhannamy.blogspot.com
Persamaan diferensial (pd) orde satu merupakan bentuk pd yang paling sederhana, karena hanya melibatkan turunan pertama dari suatu fungsi yang tidak diketahui. I 0 1 2 5 dengan demikian persamaan euler dapat dinyatakan sebagai yi1 yi hyi yi 02yi 12 yi 1 iiii xyxhfxyxy 20 5 01 n ab h. Orde dari suatu persamaan diferensial ditentukan oleh turunan tertinggi dalam persamaan tersebut. Persamaan diferensial orde pertama memuat turunan pertama y 0, mungkin pula y; About press copyright contact us creators advertise developers terms privacy policy & safety how youtube works test new features press copyright contact us creators. Persamaan yang mengandung variabel dan beberapa fungsi turunan terhadap variabel tersebut.
Soenandar djojosoemarto arief goeritno nidn:
Kepentingan utama mempelajari persamaan diferensial adalah mencari Dan fungsi x yang diberikan. Mula dan penyelesaian persamaan diferensial, mencakup: Buat persamaan diferensial yang berkaitan untuk keluarga ortogonal menjadi bentuk berikut: Metode numerik/teknik informatika itb 6 Persamaan diferensial orde 1 1.
Source: slideshare.net
Y c 1y 1x c 2y 2x c ny nx dgn c1 c2 cn konstanta. Menentukan keeksakan suatu pd orde satu. Linier homogen & non homogen orde n) dr. About press copyright contact us creators advertise developers terms privacy policy & safety how youtube works test new features press copyright contact us creators. Persamaan diferensial adalah suatu hubungan yang terdapat antara suatu variabel independen x, suatu variabel dependen y, dan satu atau lebih turunan y terhadap x.
Source: researchgate.net
Dan fungsi x yang diberikan. Pembentukan persamaan deferensial contoh (1): Diketahui p x d x 2 d x 2 x p x d x 2 d x 2 x. Dengan acuan bahwa kecepatan reaksi di dasarkan pada berkurangnya konsentrasi reaktan persatuan waktu maka diperoleh suatu persamaan diferensial untuk laju reaksi umum sebagai berikut: Untuk memperjelas bahwa persamaan tersebut termasuk dalam pd bernoulli, kita nyatakan dalam bentuk yang ekuivalen sebagai berikut.
Source: slideshare.net
Y = a.sin x + b cos x bentuklah pd nya. Persamaan diferensial (pd) orde satu merupakan bentuk pd yang paling sederhana, karena hanya melibatkan turunan pertama dari suatu fungsi yang tidak diketahui. Persamaan diferensial atau disebut sebagai pers linear orde pertama di mana a(x), b(x), dan c(x) fungsi kontinyu dari x ( ) b( x) y c ( x) dx dy a x Diketahui p x d x 2 d x 2 x p x d x 2 d x 2 x. Untuk memperjelas bahwa persamaan tersebut termasuk dalam pd bernoulli, kita nyatakan dalam bentuk yang ekuivalen sebagai berikut.
Source: teamhannamy.blogspot.com
Persamaan diferensial orde satu yang tidak linier dengan cara menubahnya menjadi persamaan diferensial orde satu yang linier dan akhirnya diselesaikan dengan metode faktor integral. Apabila fungsi f bergantung linear pada variabel bebas y, maka persamaan tersebut dapat dituliskan menjadi. Y = a.sin x + b cos x bentuklah pd nya. Mengenali bentuk pd orde satu dengan variabel terpisah dan tak terpisah. Dy dx +5x −5 =0 disebut pd orde i d y dx x 2 2 +6 +7 =0 disebut pd orde ii.
Source: berbagaicontoh.com
Metoda pemisahan variabel banyak persamaan differensial biasa (pdb) orde 1 dengan manipulasi secara aljabar dapat disederhanakan bentuknya menjadi : Linier homogen & non homogen orde n) dr. Adalah pangkat tertinggi dari sebuah koefisien diferensial. Persamaan diferensial orde pertama memuat turunan pertama y 0, mungkin pula y; Metode numerik/teknik informatika itb 6
Source: id.scribd.com
Adalah suatu persamaan hubungan antara Soenandar djojosoemarto arief goeritno nidn: Menentukan keeksakan suatu pd orde satu. Apabila fungsi f bergantung linear pada variabel bebas y, maka persamaan tersebut dapat dituliskan menjadi. Termasuk pembahasan di sini, karena kita hanya meninjau.
Source: slideserve.com
Diketahui p x d x 2 d x 2 x p x d x 2 d x 2 x. Persamaan diferensial orde 1 1. G(y)y’ = f(x) karena y’ = dy/dx, kita dapat menuliskan lebih sesuai dalam bentuk g(y) dy = f(x)dx bentuk ini dikatakan sebagai bentuk persamaan yang sudah dipisahkan variabelnya. Mengenali bentuk pd orde satu dengan variabel terpisah dan tak terpisah. Menyebutkan tingkat dan pangkat suatu persamaan diferensial yang diberikan;
Source: slideshare.net
Dengan acuan bahwa kecepatan reaksi di dasarkan pada berkurangnya konsentrasi reaktan persatuan waktu maka diperoleh suatu persamaan diferensial untuk laju reaksi umum sebagai berikut: G (y)y’ = f (x) karena y’ = dy/dx, kita dapat menuliskan lebih sesuai dalam bentuk g (y) dy = f (x)dx bentuk ini dikatakan sebagai bentuk persamaan yang sudah dipisahkan variabelnya. Menentukan keeksakan suatu pd orde satu. Dan fungsi x yang diberikan. Dengan acuan bahwa kecepatan reaksi di dasarkan pada berkurangnya konsentrasi reaktan persatuan waktu maka diperoleh suatu persamaan diferensial untuk laju reaksi umum sebagai berikut:
Source: slideshare.net
Persamaan diferensial orde 1 1. Jika dalam persamaan tersebut variabel bebas dan variabel tak bebasnya berada pada sisi yang berbeda dari tanda persamaannya, maka disebut pd yang terpisah dan untuk menentukan selesaiannya tinggal. Fungsi dengan satu peubah bebas. Y 0 = f (x;y ): 2 x y d y d x − y 2 = x 2 ⇔ d y d x − y 2 2 x y = x 2 2 x y ⇔ d y d x − 1 2 x y = x 2 y − 1.
Source: slideshare.net
Diketahui p x d x 2 d x 2 x p x d x 2 d x 2 x. Soenandar djojosoemarto arief goeritno nidn: G (y)y’ = f (x) karena y’ = dy/dx, kita dapat menuliskan lebih sesuai dalam bentuk g (y) dy = f (x)dx bentuk ini dikatakan sebagai bentuk persamaan yang sudah dipisahkan variabelnya. Bentuk umum dari persamaan diferensial orde pertama dapat dituliskan sebagai: I 0 1 2 5 dengan demikian persamaan euler dapat dinyatakan sebagai yi1 yi hyi yi 02yi 12 yi 1 iiii xyxhfxyxy 20 5 01 n ab h.
Source: teamhannamy.blogspot.com
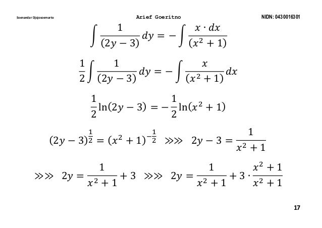
Soenandar djojosoemarto arief goeritno nidn: Linier homogen & non homogen orde n) dr. Persamaan diferensial orde 1 1 persamaan diferensial pd a. Selesaikan persamaan 2 x y d y d x − y 2 = x 2. Mengenali bentuk pd orde satu dengan variabel terpisah dan tak terpisah.
Source: scribd.com
Soenandar djojosoemarto arief goeritno nidn: 20 contoh soal diferensial teknik sipil. Adalah pangkat tertinggi dari sebuah koefisien diferensial. Selesaikan persamaan 2 x y d y d x − y 2 = x 2. Bentuk umum dari persamaan diferensial orde pertama dapat dituliskan sebagai:
Source: slideshare.net
2 x y d y d x − y 2 = x 2 ⇔ d y d x − y 2 2 x y = x 2 2 x y ⇔ d y d x − 1 2 x y = x 2 y − 1. Az jurusan teknik sipil fakultas teknik universitas brawijaya pendahuluan bentuk umum pd linier orde n adalah : 1 bab i persamaan diferensial biasa orde satu definisi: 20 contoh soal diferensial teknik sipil. G (y)y = f (x) karena y = , persamaan di atas dapat ditulis g (y)dy = f (x)dx.
Source: slideshare.net
F bab ii isi a. F bab ii isi a. Termasuk pembahasan di sini, karena kita hanya meninjau. Persamaan yang mengandung variabel dan beberapa fungsi turunan terhadap variabel tersebut. Dengan acuan bahwa kecepatan reaksi di dasarkan pada berkurangnya konsentrasi reaktan persatuan waktu maka diperoleh suatu persamaan diferensial untuk laju reaksi umum sebagai berikut:
Source: slideshare.net
Dy dx +5x −5 =0 disebut pd orde i d y dx x 2 2 +6 +7 =0 disebut pd orde ii. #a#penjumlahan jawaban “homogen dan parsial/partikuler”; Pada contoh 2 adalah persamaan diferensial homogen dan contoh 1, 3, 4, dan 5 adalah tak homogen. Menuliskan persamaan diferensial dari suatu primitif; Menentukan keeksakan suatu pd orde satu.
Source: slideshare.net
Dan fungsi x yang diberikan. Derajat degree dari suatu persamaan diferensial adalah pangkat tertinggi dari turunan tertinggi suatu persamaan diferensial contoh. Selesaikan persamaan 2 x y d y d x − y 2 = x 2. D y d t + p ( t) y = g ( t). Jika dalam persamaan tersebut variabel bebas dan variabel tak bebasnya berada pada sisi yang berbeda dari tanda persamaannya, maka disebut pd yang terpisah dan untuk menentukan selesaiannya tinggal.
Source: slideshare.net
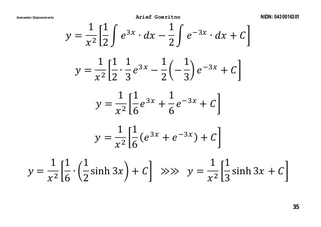
G (y)y = f (x) karena y = , persamaan di atas dapat ditulis g (y)dy = f (x)dx. Soenandar djojosoemarto arief goeritno nidn: Adalah pangkat tertinggi dari sebuah koefisien diferensial. Persamaan diferensial orde satu yang tidak linier dengan cara menubahnya menjadi persamaan diferensial orde satu yang linier dan akhirnya diselesaikan dengan metode faktor integral. • pdb orde satu yang tidak mengikuti bentuk baku tersebut harus ditulis ulang menjadi bentuk persamaan baku, agar ia dapat diselesaikan secara numerik.
Source: teamhannamy.blogspot.com
Turunan fungsi yang ada dalam persamaan. #a#penjumlahan jawaban “homogen dan parsial/partikuler”; 1 bab i persamaan diferensial biasa orde satu definisi: Penyelesaian persamaan diferensial linier orde pertama − pada pembelajaran kali ini, sahabat akan membahas bagaimana menyelesaikan persamaan diferensial linier orde pertama.pada dua blog sebelumnya, sahabat telah mempelajari proses penyelesaian persamaan diferensial orde pertama dan persamaan diferensial homogen dengan metode peubah terpisah. Turunan fungsi yang ada dalam persamaan.
This site is an open community for users to do submittion their favorite wallpapers on the internet, all images or pictures in this website are for personal wallpaper use only, it is stricly prohibited to use this wallpaper for commercial purposes, if you are the author and find this image is shared without your permission, please kindly raise a DMCA report to Us.
If you find this site value, please support us by sharing this posts to your favorite social media accounts like Facebook, Instagram and so on or you can also save this blog page with the title persamaan diferensial orde 1 by using Ctrl + D for devices a laptop with a Windows operating system or Command + D for laptops with an Apple operating system. If you use a smartphone, you can also use the drawer menu of the browser you are using. Whether it’s a Windows, Mac, iOS or Android operating system, you will still be able to bookmark this website.




