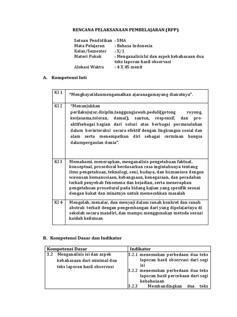
Perbedaan Utama Teks Laporan Dan Teks Deskripsi Adalah. Perbedaan utama teks laporan dan teks deskripsi adalah.yang dimaksud dengan teks deskripsi adalah sebuah karangan atau teks tertulis yang didalamnya terdapat gagasan utama atau ide pokok yang dapat menggambarkan sebuah objek suatu kejadian sebuah tempat dan. Deskripsi spatial, sejenis paragraf yang menjelaskan atau memaparkan suatu objek hanya. Perbedaan teks laporan observasi dan teks deskripsi terletak dari hasil wawancara. Teks laporan hasil observasi terdiri atas 4 struktur utama:
Perbedaan Teks Hasil Observasi Dengan Teks Deskripsi From struktur.shareinspire.me
Perbedaan utama teks laporan dan teks deskripsi adalah.yang dimaksud dengan teks deskripsi adalah sebuah karangan atau teks tertulis yang didalamnya terdapat gagasan utama atau ide pokok yang dapat menggambarkan sebuah objek suatu kejadian sebuah tempat dan. Teks laporan observasi hampir mirip dengan teks deskripsi. Namun jika anda masih kurang paham atau lupa mengenai materi yang diberikan oleh guru anda,. Teks deskripsi adalah teks yang berisi pemaparan atau penggambaran atas suatu obyek dengan detail. Inilah penjelasan tentang apa perbedaan antara teks laporan dan teks deskriptif dan informasi lain yang masih ada hubungannya dengan topik apa perbedaan antara teks laporan dan teks deskriptif yang anda cari. Teks laporan hasil observasi terdiri atas 4 struktur utama:
Teks deskripsi adalah teks yang dituliskan dengan menggunakan cara penggambaran kondisi ataupun keadaan yang sesungguhnnya kepada si pembaca.
Dari segi karakteristik dan sifat teks deskripsi memiliki karakteristik individual dan unik. Teks laporan hasil observasi terdiri atas 4 struktur utama: Kami berharap semoga pembahasan mengenai apa perbedaan antara teks laporan dan teks deskriptif berikut ini bermanfaat untuk anda. Hal ini dikarenakan teks ini mengklasifikasikan sesuatu berdasarkan kriteria tertentu. Perbedaan utama teks laporan dan teks deskripsi adalah.yang dimaksud dengan teks deskripsi adalah sebuah karangan atau teks tertulis yang didalamnya terdapat gagasan utama atau ide pokok yang dapat menggambarkan sebuah objek suatu kejadian sebuah tempat dan. Ketinggian gunung merapi adalah 2.930 m.
Source: tipsmembedakan.blogspot.com
Teks laporan dan teks deskripsi memiliki perbedaan. Teks deskripsi adalah teks yang berisi pemaparan atau penggambaran atas suatu obyek dengan detail. Definisi umum, definisi bagian, definisi manfaat, dan penutup. Hal ini dikarenkan teks ini mengkalasifikasikan sesuatu berdasarkan kriteria tertentu. Teks deskripsi terdiri atas 2 struktur utama, yaitu identifikasi, klasifikasi, dan deskrispsi sementara teks laporan hasil observasi terdiri atas 4 struktur utama, yakni definisi umum, definisi bagian, definisi manfaat, dan penutup.
Source: berbagiteks.blogspot.com
Kami berharap semoga pembahasan mengenai jelaskan persamaan dan perbedaan teks. Dari sini penulis berharap agartulisannya itu bisa memberikan sebuah gambaran pada para pembacannya atau sederhanannya pembaca bisa merasakan, melihat, hingga mendengar. Teks laporan observasi hampir mirip dengan teks deskripsi. Klasifikasi, yaitu bagian yang menjelaskan mengenai susunan atau sistem dalam suatu. Teks ditransmisikan melalui saluran atau media yang sesuai dan.
Source: berbagiteks.blogspot.com
Perbedaan yang paling menonjol di antara keduanya terletak pada sifatnya. Pertama, teks laporan hasil observasi menggambarkan bentuk, ciri dan sifat objek secara umum, sedangkan teks deskripsi menggambarkan kesemua itu secara lebih spesifik. Hal ini dikarenakan teks ini mengklasifikasikan sesuatu berdasarkan kriteria tertentu. Klasifikasi, yaitu bagian yang menjelaskan mengenai susunan atau sistem dalam suatu. Sementara teks deskripsi menekankan pada uraian.
Source: berbagiteks.blogspot.com
Teks laporan observasi hampir mirip dengan teks deskripsi. Identifikasi, klasifikasi, dan bagian deskripsi. Dengan demikian, perbedaan antara teks laporan hasil observasi dan deskripsi terlihat dari tujuan teks, cara. Teks laporan juga disebut teks klasifikasi karena teks tersebut memuat klasifikasi mengenai jenis sesuatu berdasarkan kriteria tertentu. Teks deskripsi terdiri atas 2 struktur utama, yaitu identifikasi, klasifikasi, dan deskrispsi sementara teks laporan hasil observasi terdiri atas 4 struktur utama, yakni definisi umum, definisi bagian, definisi manfaat, dan penutup.
Source: berbagiteks.blogspot.com
Dari segi karakteristik dan sifat teks deskripsi memiliki karakteristik individual dan unik. Struktur teks deskripsi yaitu identifikasi, deskripsi, dan kesimpulan. Dengan demikian, perbedaan antara teks laporan hasil observasi dan deskripsi terlihat dari tujuan teks, cara. Dari segi karakteristik dan sifat teks deskripsi memiliki karakteristik individual dan unik. Hal ini dikarenkan teks ini mengkalasifikasikan sesuatu berdasarkan kriteria tertentu.
Source: seputaranlaporan.blogspot.com
Sebenarnya teks laporan dan teks deskripsi berbeda. Teks akademik dalam genre makro dapat berwujud dalam berbagai jenis, misalnya ulasan buku, proposal penelitian, laporan penelitian, laporan praktikum, dan artikel ilmiah. Teks laporan hasil observasi terdiri atas 4 struktur utama: Di bangku sekolah, anda mungkin sudah pernah mendapatkan materi mengenai hal ini. Teks laporan dan teks deskripsi memiliki perbedaan.
Source: berbagiteks.blogspot.com
Berbeda dengan teks deskripsi, teks laporan bersifat umum atau universal, sedangkan teks deskripsi lebih bersifat khusus dan. Teks deskripsi berisi tentang penjelasan yang melibatkan seluruh panca indera. Sebagai gunung paling aktif, ternyata gunung merapi salah satu gunung yang paling sering erupsi. Struktur teks deskripsi yaitu identifikasi, deskripsi, dan kesimpulan. Untuk memperjelas pengertian apa itu teks lebih jelas dan mengelaborasi lebih luas lagi, berikut ini adalah pengertian menurut beberapa ahli:
Source: terkaitperbedaan.blogspot.com
Menurut beaugrande dan dressler teks mengacu pada suatu peristiwa komunikatif. Kami berharap semoga pembahasan mengenai jelaskan persamaan dan perbedaan teks. Definisi umum, definisi bagian, definisi manfaat, dan penutup. Sementara teks deskripsi menekankan pada uraian. Sebenarnya teks laporan dan teks deskripsi berbeda.
Source: berbagaiteks.blogspot.com
Teks deskripsi berisi tentang penjelasan yang melibatkan seluruh panca indera. Teks deskripsi terdiri atas 2 struktur utama, yaitu identifikasi, klasifikasi, dan deskrispsi sementara teks laporan hasil observasi terdiri atas 4 struktur utama, yakni definisi umum, definisi bagian, definisi manfaat, dan penutup. Kami berharap semoga pembahasan mengenai jelaskan persamaan dan perbedaan teks. Menurut beaugrande dan dressler teks mengacu pada suatu peristiwa komunikatif. Terakhir erupsi 1 juni 2020.
Source: berkaspendidikanpdf.blogspot.com
Pengertian teks menurut para ahli. Indeks pengarang buku epilepsi tulisan perbedaan yang paling menonjol di antara keduanya terletak pada sifatnya yaitu bahwa teks laporan bersifat global dan universal sedangkan teks deskripsi bersifat unik. Jelaskan perbedaan teks laporan dan teks deskripsi. Sementara itu, teks deskripsi terdiri atas 3 struktur utama yaitu identifikasi, deskripsi bagian, dan penutup. Teks deskripsi terdiri atas 2 struktur utama, yaitu identifikasi, klasifikasi, dan deskrispsi sementara teks laporan hasil observasi terdiri atas 4 struktur utama, yakni definisi umum, definisi bagian, definisi manfaat, dan penutup.
Source: berbagaiteks.blogspot.com
Klasifikasi, yaitu bagian yang menjelaskan mengenai susunan atau sistem dalam suatu. Kami berharap semoga pembahasan mengenai apa perbedaan antara teks laporan dan teks deskriptif berikut ini bermanfaat untuk anda. Teks laporan juga disebut teks klasifikasi karena teks tersebut memuat klasifikasi mengenai jenis sesuatu berdasarkan kriteria tertentu. Namun, ada beberapa perbedaan antara kedua jenis teks ini. Perbedaan antara teks prosedur dengan teks laporan hasil observasi dapat dilihat dari dua aspek, yaitu dari segi struktur isi dan dari segi fitur bahasa.
Source: tipsmembedakan.blogspot.com
Teks deskripsi adalah teks yang berisi pemaparan atau penggambaran atas suatu obyek dengan detail. Deskripsi subyektif, jenis paragraf yang menggambarkan atau memaparkan objek berdasarkan kesan atau pengalaman penulis.; Definisi umum, definisi bagian, definisi manfaat, dan penutup. Terakhir erupsi 1 juni 2020. Perbedaan yang paling menonjol di antara keduanya terletak pada sifatnya.
Source: slideshare.net
Perbedaan antara teks prosedur dengan teks laporan hasil observasi dapat dilihat dari dua aspek, yaitu dari segi struktur isi dan dari segi fitur bahasa. Namun, ada beberapa perbedaan antara kedua jenis teks ini. Klasifikasi, yaitu bagian yang menjelaskan mengenai susunan atau sistem dalam suatu. Sementara itu, teks deskripsi terdiri atas 3 struktur utama yaitu identifikasi, klasifikasi, dan deskripsi bagian. Deskripsi spatial, sejenis paragraf yang menjelaskan atau memaparkan suatu objek hanya.
Source: berbagaiteks.blogspot.com
Teks laporan observasi sifatnya lebih universal (umum). Dari segi karakteristik dan sifat teks deskripsi memiliki karakteristik individual dan unik. Deskripsi subyektif, jenis paragraf yang menggambarkan atau memaparkan objek berdasarkan kesan atau pengalaman penulis.; Menurut beaugrande dan dressler teks mengacu pada suatu peristiwa komunikatif. Isi dari keduanya juga merupakan.
Source: struktur.shareinspire.me
Deskripsi subyektif, jenis paragraf yang menggambarkan atau memaparkan objek berdasarkan kesan atau pengalaman penulis.; Ketika teks dekripsinya adalah teks yang berisi uraian tentang keadaan berupa sifat, bentuk, ukuran, dan warna suatu benda. Struktur teks deskripsi yaitu identifikasi, deskripsi, dan kesimpulan. Sebagai gunung paling aktif, ternyata gunung merapi salah satu gunung yang paling sering erupsi. Klasifikasi, yaitu bagian yang menjelaskan mengenai susunan atau sistem dalam suatu.
Source: berbagaiteks.blogspot.com
Namun jika anda masih kurang paham atau lupa mengenai materi yang diberikan oleh guru anda,. Teks deskripsi dapat dibagi menjadi tiga jenis. Teks laporan dan teks deskripsi memiliki perbedaan. Definisi umum, definisi bagian, definisi manfaat, dan penutup. Teks akademik dalam genre makro dapat berwujud dalam berbagai jenis, misalnya ulasan buku, proposal penelitian, laporan penelitian, laporan praktikum, dan artikel ilmiah.
Source: berbagiteks.blogspot.com
Sementara itu, teks deskripsi terdiri atas 3 struktur utama yaitu identifikasi, deskripsi bagian, dan penutup. Sementara itu, teks deskripsi terdiri atas 3 struktur utama yaitu identifikasi, klasifikasi, dan deskripsi bagian. Deskripsi subyektif, jenis paragraf yang menggambarkan atau memaparkan objek berdasarkan kesan atau pengalaman penulis.; Adapun beberapa jenis teks tersebut adalah sebagai berikut: Perbedaan teks laporan observasi dan teks deskripsi terletak dari hasil wawancara.
Source: 29gilankun.blogspot.com
Perbedaan teks laporan observasi dan teks deskripsi terletak dari hasil wawancara. Deskripsi spatial, sejenis paragraf yang menjelaskan atau memaparkan suatu objek hanya. Identifikasi, klasifikasi, dan bagian deskripsi. Perbedaan utama teks laporan dan teks deskripsi adalah.yang dimaksud dengan teks deskripsi adalah sebuah karangan atau teks tertulis yang didalamnya terdapat gagasan utama atau ide pokok yang dapat menggambarkan sebuah objek suatu kejadian sebuah tempat dan. Teks deskripsi terdiri atas 2 struktur utama, yaitu identifikasi, klasifikasi, dan deskrispsi sementara teks laporan hasil observasi terdiri atas 4 struktur utama, yakni definisi umum, definisi bagian, definisi manfaat, dan penutup.
This site is an open community for users to share their favorite wallpapers on the internet, all images or pictures in this website are for personal wallpaper use only, it is stricly prohibited to use this wallpaper for commercial purposes, if you are the author and find this image is shared without your permission, please kindly raise a DMCA report to Us.
If you find this site adventageous, please support us by sharing this posts to your preference social media accounts like Facebook, Instagram and so on or you can also save this blog page with the title perbedaan utama teks laporan dan teks deskripsi adalah by using Ctrl + D for devices a laptop with a Windows operating system or Command + D for laptops with an Apple operating system. If you use a smartphone, you can also use the drawer menu of the browser you are using. Whether it’s a Windows, Mac, iOS or Android operating system, you will still be able to bookmark this website.



