Materi Invers Matriks 3x3. Invers matriks materi mengenai invers matriks ini sendiri sering sekali muncul dalam pelajaran matematika. Misalnya matriks ordo 2 x 3 sanggup dikalikan dengan matriks ordo 3 x 3 tetapi tidak sanggup dikalikan dengan matriks berordo 3 x 2 alasannya ialah jumlah baris matriks ordo 3 x 2 tidak sama a1x3 dikali dengan b3x1 akan. Rumusan dari invers matriks persegi berordo 2 adalah sebagai berikut: Contoh soal determinan matriks ordo 3×3.
Program invers matriks 3x3 Materi Pemograman From sbareng.blogspot.com
Invers matriks ordo 3x3 mencari invers matriks berordo 3x3 dapat dilakukan dengan dua cara, yaitu dengan adjoin dan transformasi baris elementer. Invers ordo 3x3 cara menentukan invers matriks ordo 3x3 memiliki prinsip yang sama dengan matriks ordo 2x2, hanya saja berbeda dalam menentukan adjoin nya. Invers matriks untuk matriks yang 2x2 invers matriks 3x3 matriks kofaktor adjoint matriks invers matriks persamaan differensial pengertian persamaan differensial adalah hubungan antara variabel bebas x, variabel tak bebas y, dan satu atau lebih koefisien differensial y terhadap x. Orde 2x2 jika a dan b matriks bujur sangkar sedemikian rupa sehingga a b = b a = i , maka b disebut balikan atau invers dari a dan dapat dituliskan ( b sama dengan invers a ). Seperti yang telah kita ketahui bahwa aljabar terdapat penggunaan kata terbalik didalamnya. Karena jika kalian sudah mengetahui matriks ordo 3 × 3 invers matriks ordo 3 × 3.
Invers matriks ordo 2 × 2 2 × 2.
Matriks b juga mempunyai invers yaitu a maka dapat dituliskan.jika tidak ditemukan matriks b, maka a dikatakan matriks tunggal (singular). Invers matriks ordo 3×3 untuk mencari invers matriks ordo nxn ibarat untuk matriks 3×3 dipakai rumus ibarat berikut. Untuk mencari invers matriks pada ordo 3x3, dapat digunakan metode eliminasi gauss jordan. Invers matriks ordo 2x2 suatu matriks persegi memiliki invers, dimana invers matriks adalah kebalikan dari matriks tersebut. Invers matriks ordo 3 x 3 3 x 3. Determinan dan invers matriks b.
Source: beritapedia.clodui.com
Secara sistematis, eliminasi gauss jordan dapat dinyatakan sebagai berikut: Contoh soal determinan matriks ordo 3×3. Matriks b juga mempunyai invers yaitu a maka dapat dituliskan.jika tidak ditemukan matriks b, maka a dikatakan matriks tunggal (singular). Invers matriks materi mengenai invers matriks ini sendiri sering sekali muncul dalam pelajaran matematika. Kupas habis materi tentang matriks, mulai dari operasi perhitungan dalam matriks seperti penjumlahan, pengurangan, perkalian, pembagian, determinan, invers, sifat sifat matriks, transpose, dan lainnya.
Source: contohdanpenyelesaianmatrix.blogspot.com
Jika matriks b dan c adalah invers dari a maka b. Matriks b juga mempunyai invers yaitu a maka dapat dituliskan.jika tidak ditemukan matriks b, maka a dikatakan matriks tunggal (singular). Cara menghitung determinan matriks 3×3 dengan ekspansi kofaktor. Karena materi matematika sudah diajarkan sejak kita duduk di sekolah dasar. Invers matriks ordo 3×3 untuk mencari invers matriks ordo nxn ibarat untuk matriks 3×3 dipakai rumus ibarat berikut.
Source: websiteedukasi.id
Rumusan dari invers matriks persegi berordo 2 adalah sebagai berikut: Karena materi matematika sudah diajarkan sejak kita duduk di sekolah dasar. B = c maka : Rumus terbalik dapat dibagi menjadi dua jenis, yaitu rumus untuk pesanan 2×2 dan rumus untuk pesanan 3×3. Ketika dibangku sekolah menengah tentunya para siswa telah diajarkan mengenai materi invers matriks.
Source: contoh2soalpelajaran.blogspot.com
Contoh soal determinan matriks ordo 3×3. Home » invers » invers matriks » materi pembelajaran » materi pembelajaran matematika » matriks » invers matriks. Secara sistematis, eliminasi gauss jordan dapat dinyatakan sebagai berikut: Matriks b juga mempunyai invers yaitu a maka dapat dituliskan.jika tidak ditemukan matriks b, maka a dikatakan matriks tunggal (singular). Invers matriks materi mengenai invers matriks ini sendiri sering sekali muncul dalam pelajaran matematika.
Source: teamhannamy.blogspot.com
Operasi yang dilakukan pada matriks a juga dilakukan pada. Bahkan sebelum sekolah pun kita secara tidak langsung sudah berhubungan dengan matematika, meski dalam wujud yang sederhana. 31+ contoh soal matriks invers 3x3. Determinant of 3 x 3 matrix animated. Cara menghitung determinan matriks 3×3 dengan ekspansi kofaktor.
Source: materimatematika.com
Agar lebih paham perhatikan contoh soal di bawah ini ! Tentukan nilai x y dan z jika. Langkah invers matriks 3×3 metode adjoin, yaitu: Rumus invers matriks beserta contoh soal matriks materi minor kofaktor matrik kofaktor dan adjoin. Home » invers » invers matriks » materi pembelajaran » materi pembelajaran matematika » matriks » invers matriks.
Source: contohsoalitu.blogspot.com
Contoh soal matriks penjumlahan pengurangan perkalian dan campuran plus jawabannya. 31+ contoh soal matriks invers 3x3. Secara sistematis, eliminasi gauss jordan dapat dinyatakan sebagai berikut: Determinan dan invers matriks b. Contoh soal invers matriks ordo 3x3 dan jawabannya buatlah.
Source: python-belajar.github.io
Std menu ordo 3x3 / 4x4 pada std ini terdapat form untuk menampilkan tiga pilihan menu sesuai dengan ordo dan metode Rumusan dari invers matriks persegi berordo 2 adalah sebagai berikut: Langkah invers matriks 3×3 metode adjoin, yaitu: Rumus terbalik dapat dibagi menjadi dua jenis, yaitu rumus untuk pesanan 2×2 dan rumus untuk pesanan 3×3. If playback doesn't begin shortly, try restarting your device.
Source: contohsooal.blogspot.com
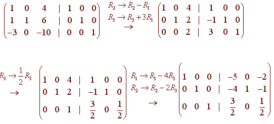
(1) dengan metoda mereduksi elemen baris. Operasi yang dilakukan pada matriks a juga dilakukan pada. Matriks persegi a dieliminasi menggunakan operasi aljabar sampai membentuk matriks identitas. Rumusan dari invers matriks persegi berordo 2 adalah sebagai berikut: Determinan dan invers matriks b.
Source: shareitnow.me
Matriks kelas / semester : Rumus terbalik dapat dibagi menjadi dua jenis, yaitu rumus untuk pesanan 2×2 dan rumus untuk pesanan 3×3. Cara invers matriks 3×3 contoh soal invers matriks dan pembahasannya. Stdmenu partisi /adjoint /obe std menu ordo 3x3 / 4x4 gambar 5. Langkah invers matriks 3×3 metode adjoin, yaitu:
Source: websiteedukasi.id
Kami menemukan berbagai contoh masalah seperti perkalian matriks invers 33 atau matriks invers 22 pada matriks invers 44. Seperti yang telah kita ketahui bahwa aljabar terdapat penggunaan kata terbalik didalamnya. (1) setiap elemen baris dapat dikali (atau dibagi) dengan bilangan real. Contoh soal determinan matriks ordo 3×3. Invers ordo 3x3 cara menentukan invers matriks ordo 3x3 memiliki prinsip yang sama dengan matriks ordo 2x2, hanya saja berbeda dalam menentukan adjoin nya.
Source: sobatguru.com
Karena jika kalian sudah mengetahui matriks ordo 3 × 3 invers matriks ordo 3 × 3. Karena jika kalian sudah mengetahui matriks ordo 3 × 3 invers matriks ordo 3 × 3. Invers ordo 3x3 cara menentukan invers matriks ordo 3x3 memiliki prinsip yang sama dengan matriks ordo 2x2, hanya saja berbeda dalam menentukan adjoin nya. Invers matriks sendiri terdiri dari beberapa macam salah satunya adalah invers matriks 22 dan 33. Selain itu juga digunakan untuk memudahkan langkah eliminasi gauss jordan.
Source: berkaspendidikanpdf.blogspot.com
Matriks persegi a dieliminasi menggunakan operasi aljabar sampai membentuk matriks identitas. Contoh soal matriks ordo 3×3. Contoh soal invers matriks ordo 3x3 dan jawabannya buatlah. Untuk menentukan invers suatu matriks dengan ordo 3 x 3, kalian harus memahami tentang matriks minor, kofaktor, dan adjoint. Rumus invers matriks beserta contoh soal matriks materi minor kofaktor matrik kofaktor dan adjoin.
Source: soalnat.blogspot.com
Untuk menentukan invers matriks dengan metoda ini, dilakukan dengan cara : Dalam penyelesaian matriks 3 x 3, ada beberapa istilah yang harus kita ketahui yaitu determinan sarrus, minor, kofaktor, dan adjoin. Misalnya matriks ordo 2 x 3 sanggup dikalikan dengan matriks ordo 3 x 3 tetapi tidak sanggup dikalikan dengan matriks berordo 3 x 2 alasannya ialah jumlah baris matriks ordo 3 x 2 tidak sama a1x3 dikali dengan b3x1 akan. Untuk mencari invers matriks pada ordo 3x3, dapat digunakan metode eliminasi gauss jordan. Stdmenu partisi /adjoint /obe std menu ordo 3x3 / 4x4 gambar 5.
Source: beritapedia.clodui.com
Invers matriks ordo 3 x 3 3 x 3. Minor kofaktor matrik kofaktor dan adjoin matrik harianja uniks. Invers matriks ordo 3×3 untuk mencari invers matriks ordo nxn ibarat untuk matriks 3×3 dipakai rumus ibarat berikut. Orde 2x2 jika a dan b matriks bujur sangkar sedemikian rupa sehingga a b = b a = i , maka b disebut balikan atau invers dari a dan dapat dituliskan ( b sama dengan invers a ). Dalam penyelesaian matriks 3 x 3, ada beberapa istilah yang harus kita ketahui yaitu determinan sarrus, minor, kofaktor, dan adjoin.
Source: materisiswadoc.blogspot.com
Invers matriks ordo 3×3 untuk mencari invers matriks ordo nxn ibarat untuk matriks 3×3 dipakai rumus ibarat berikut. Operasi yang dilakukan pada matriks a juga dilakukan pada. Seperti yang telah kita ketahui bahwa aljabar terdapat penggunaan kata terbalik didalamnya. 31+ contoh soal matriks invers 3x3. If playback doesn't begin shortly, try restarting your device.
Source: sbareng.blogspot.com
Determinan dan invers matriks b. Invers matriks sendiri terdiri dari beberapa macam salah satunya adalah invers matriks 22 dan 33. Agar lebih paham perhatikan contoh soal di bawah ini ! Agar lebih paham perhatikan contoh soal di bawah ini ! Ketika dibangku sekolah menengah tentunya para siswa telah diajarkan mengenai materi invers matriks.
Source: barisancontoh.blogspot.com
Untuk menentukan invers matriks dengan metoda ini, dilakukan dengan cara : Contoh soal dan pembahasan invers matriks 3×3. Invers matriks sendiri terdiri dari beberapa macam salah satunya adalah invers matriks 22 dan 33. (1) setiap elemen baris dapat dikali (atau dibagi) dengan bilangan real. (1) dengan metoda mereduksi elemen baris.
This site is an open community for users to submit their favorite wallpapers on the internet, all images or pictures in this website are for personal wallpaper use only, it is stricly prohibited to use this wallpaper for commercial purposes, if you are the author and find this image is shared without your permission, please kindly raise a DMCA report to Us.
If you find this site serviceableness, please support us by sharing this posts to your favorite social media accounts like Facebook, Instagram and so on or you can also bookmark this blog page with the title materi invers matriks 3x3 by using Ctrl + D for devices a laptop with a Windows operating system or Command + D for laptops with an Apple operating system. If you use a smartphone, you can also use the drawer menu of the browser you are using. Whether it’s a Windows, Mac, iOS or Android operating system, you will still be able to bookmark this website.

