Contoh Soal Peluang Kejadian Bersyarat. Data lengkap tentang contoh soal peluang kejadian saling bebas. S = {1,2,3,4,5,6}, sehingga $ n(s) = 6 $ a = {2,3,5}, sehingga $ n(a) = 3 $. P (a ∪ b) = p (a) + p (b). Contoh soal peluang yang dibahas adalah peluang kejadian dadu, peluang kartu bridge, bola berwarna, kelereng yang disertai pembahasannya.
Materi, Contoh Soal Peluang Kejadian Majemuk dan Kejadian From ruangparabintang.com
Jika jumlah mata dadu yang muncul kurang dari 4, hitunglah peluang bahwa mata dadu pertama sama dengan 1. Tentukan peluang munculnya mata dadu ganjil dengan syarat munculnya kejadian mata dadu prima lebih dahulu. Contoh 11 (soal un tahun 2018) Rumus peluang kejadian “a atau b”. Contoh soal cerita peluang bersyarat. Dalam sebuah kotak terdapat 10 bola yang diberi nomer 1 sampai 10.
S = {1,2,3,4,5,6}, sehingga $ n(s) = 6 $ a = {2,3,5}, sehingga $ n(a) = 3 $.
Untuk lebih jelasnya, dibawah ini diberikan beberapa contoh soal peluang bersyarat dan pembahasannya. Contoh soal cerita peluang bersyarat. Jika dua buah dadu dilemparkan sekaligus, sisi yang muncul pada dadu yang satu tidak ada hubungannya. Kamu dapat download modul & contoh soal serta kumpulan latihan soal lengkap dalam bentuk pdf pada list dibawah ini: Tentukan peluang munculnya mata dadu ganjil dengan syarat munculnya kejadian contoh soal : P(a ∩ b) = p(a) x p(b|a)
Source: ruangparabintang.com
Jika kejadian b terjadi setelah kejadian a telah terjadi maka peluang kejadian b disebut peluang bersyarat dan dinotasikan dengan. Sehingga tiap kejadian saling berpengaruh baik untuk kejadian a atau b. Rumus dari kejadian bersyarat adalah dari seperangkat kartu bridge, akan diambil satu kartu secara acak. Jika dua buah dadu dilemparkan sekaligus, sisi yang muncul pada dadu yang satu tidak ada hubungannya. Peluang kejadian bersyarat adalah peluang kejadian bergantung kepada peluang kejadian yang lain.
Source: shareitnow.me
Setelah mempelajari materi tentang percobaan, ruang sampel dan peluang suatu kejadian sebagai materi awal untuk memahami materi peluang kejadian majemuk dan bersyarat. Tentukan peluang munculnya mata dadu ganjil dengan syarat munculnya kejadian mata dadu prima lebih dahulu. Seorang siswa akan mengambil 3 bola namun diambil satu persatu tanpa pengembalian, berapakah peluang terambil ketiga bola adalah bola berwarna kuning? Jika dua buah dadu dilemparkan sekaligus, sisi yang muncul pada dadu yang satu tidak ada hubungannya. Contoh soal cerita peluang bersyarat.
Source: kitabelajar.github.io
Data lengkap tentang contoh soal peluang kejadian saling bebas. Rumus dari kejadian bersyarat adalah dari seperangkat kartu bridge, akan diambil satu kartu secara acak. Contoh soal cerita peluang bersyarat. Jika kejadian b terjadi setelah kejadian a telah terjadi, maka peluang kejadian b disebut peluang bersyarat dan dinotasikan dengan. Untuk memahami peluang kejadian bersyarat, perhatikan contoh berikut dua buah dadu dilempar undi bersama, tentukan peluang muncul jumlah mata dadu lebih besar dari 9 dengan syarat dadu pertama muncul 5 penyelesaian tanpa rumus cara ini memandang syaratnya sebagai ruang sampel dan kejadiannya adalah bagian dari ruang sampel tersebut
Source: contohsoalku.co
Peluang bersyarat nunjukin kalo kejadian a berpengaruh terhadap kejadian b atau sebaliknya. Untuk tulisan yang jelas dan lengkapnya, klik saja: Misalkan kejadian munculnya mata dadu angka ganjil disyaratkan munculnya mata dadu angka. Terdapat sebuah kotak yang berisi 5 bola merah serta 4 bola hijau di dalamnya. Karena daerah tersebut dekat sungai yang ciliwung yang bagian hulunya ada di daerah bogor sehingga daerah cipinang sering juga
Source: kitabelajar.github.io
Misal a adalah bola biru dan b bola merah, maka. Sehingga peluang a ∩ b. Kumpulan soal mudah, sedang &. Misalkan kejadian munculnya mata dadu angka ganjil disyaratkan munculnya mata dadu angka prima lebih dahulu. Peluang bersyarat nunjukin kalo kejadian a berpengaruh terhadap kejadian b atau sebaliknya.
Source: biayapendidikan.com
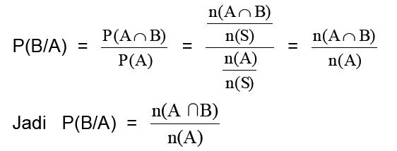
15 contoh soal dan pembahasan materi peluang kejadian matematika by mas min posted on may 16 2016. Peluang kejadian (b) dengan syarat (a) terjadi adalah [p(b/a) = \frac{p(a \cap b)}{p(a)}] dimana (p(b/a)) adalah eluang kejadian bersyarat (b) dengan syarat (a) terjadi, (p(a \cap b)) adalah peluang kejadian (a) irisan (b) dan. Rumus peluang kejadian “a atau b”. Jibang p.hutagaol,m.pd february 20, 2021. Kita perlu memisalkan dahulu setiap kejadian.
Source: dikdasmen.my.id
P (a ∪ b) = p (a) + p (b). Tentukan peluang munculnya mata dadu ganjil dengan syarat munculnya kejadian mata dadu prima lebih dahulu. Dalam materi peluang kejadian bersyarat pasti contoh soal yang diberikan berkaitan dengan pengambilan sebuah kartu bridge. Kedua kejadian di atas akan menjadi saling bebas jika setelah mengambil kartu yang pertama kartu tersebut dikembalikan ke set semula sehingga set kartu itu lengkap kembali 52 kartu. 15 contoh soal dan pembahasan materi peluang kejadian matematika by mas min posted on may 16 2016.
Source: buhleradventures.blogspot.com
Pada soal ini kemunculan mata dadu pertama sama dengan. Peluang kejadian bersyarat peluang kejadian bersyarat adalah peluang kejadian bergantung kepada peluang kejadian yang lain. P(b) = peluang kejadian b = peluang kejadian saling lepas. Dalam sebuah kotak terdapat 10 bola yang diberi nomer 1 sampai 10. Pada percobaan pelemparan sebuah mata uang logam sebanyak 150 kali ternyata muncul angka sebanyak 78 kali.
Source: berbagaicontoh.com
Seorang siswa akan mengambil 3 bola namun diambil satu persatu tanpa pengembalian, berapakah peluang terambil ketiga bola adalah bola berwarna kuning? Berikut contoh soal tentang peluang bersyarat yang banyak dijumpai : Materi, contoh soal peluang kejadian majemuk dan kejadian bersyarat. Pada percobaan pelemparan sebuah mata uang logam sebanyak 150 kali ternyata muncul angka sebanyak 78 kali. P (a ∪ b) = p (a) + p (b) − p (a ∩ b) = 3/6 + 3/6 − 2/6.
Source: mataseluruhdunia208.blogspot.com
Dua dadu setimbang dilempar bersamaan. Jika kejadian b terjadi setelah kejadian a telah terjadi maka peluang kejadian b disebut peluang bersyarat dan dinotasikan dengan. Kedua kejadian di atas akan menjadi saling bebas jika setelah mengambil kartu yang pertama kartu tersebut dikembalikan ke set semula sehingga set kartu itu lengkap kembali 52 kartu. Contoh soal peluang yang dibahas adalah peluang kejadian dadu, peluang kartu bridge, bola berwarna, kelereng yang disertai pembahasannya. Rumus peluang bersyarat bisa kamu liat di bawah ini.
Source: sharecontohsoal.blogspot.com
Postingan ini membahas contoh soal peluang bersyarat dan pembahasannya atau penyelesaiannya. Dari kotak tersebut, anda akan mengambil 1 buah bola merah dan 1 buah bola hijau. Kedua kejadian di atas akan menjadi saling bebas jika setelah mengambil kartu yang pertama kartu tersebut dikembalikan ke set semula sehingga set kartu itu lengkap kembali 52 kartu. P (a ∪ b) = p (a) + p (b) − p (a ∩ b) = 3/6 + 3/6 − 2/6. Jika dua buah dadu dilemparkan sekaligus, sisi yang muncul pada dadu yang satu tidak ada hubungannya.
Source: teamhannamy.blogspot.com
15 contoh soal dan pembahasan materi peluang kejadian matematika by mas min posted on may 16 2016. Peluang kejadian bersyarat adalah peluang kejadian bergantung kepada peluang kejadian yang lain. Peluang bersyarat nunjukin kalo kejadian a berpengaruh terhadap kejadian b atau sebaliknya. Jibang p.hutagaol,m.pd february 20, 2021. Peluang kakak nonton film kartun sendiri = 0 , 65, peluang adik nonton film kartun sendiri = 0 , 8.
Source: kunciujianbaru.blogspot.com
Postingan ini membahas contoh soal peluang bersyarat dan pembahasannya atau penyelesaiannya. Soal peluang bersarat dan pembahasannya. Peluang bersyarat dan kejadian saling bebas (1) april 15th, 2017. Dalam teori peluang, dua buah kejadian (atau lebih) dapat saling bebas, dapat pula tidak saling bebas. Peluang kereta datang terlambat adalah 0,03.
Source: teamhannamy.blogspot.com
Bank soal dan pembahasan matematika dasar teori peluang. Untuk lebih jelasnya, dibawah ini diberikan beberapa contoh soal peluang bersyarat dan pembahasannya. Peluang bersyarat nunjukin kalo kejadian a berpengaruh terhadap kejadian b atau sebaliknya. P (a ∪ b) = p (a) + p (b). P(a ∩ b) = p(a) x p(b|a)
Source: teamhannamy.blogspot.com
S = {1,2,3,4,5,6}, sehingga $ n(s) = 6 $ a = {2,3,5}, sehingga $ n(a) = 3 $. Peluang kejadian bersyarat adalah peluang kejadian bergantung kepada peluang kejadian yang lain. Contoh soal cerita peluang bersyarat. Untuk memahami peluang kejadian bersyarat, perhatikan contoh berikut dua buah dadu dilempar undi bersama, tentukan peluang muncul jumlah mata dadu lebih besar dari 9 dengan syarat dadu pertama muncul 5 penyelesaian tanpa rumus cara ini memandang syaratnya sebagai ruang sampel dan kejadiannya adalah bagian dari ruang sampel tersebut Contoh soal peluang yang dibahas adalah peluang kejadian dadu, peluang kartu bridge, bola berwarna, kelereng yang disertai pembahasannya.
Source: contoh2soalpelajaran.blogspot.com
Berikut contoh soal tentang peluang bersyarat yang banyak dijumpai : 41+ contoh soal probabilitas bersyarat background. 15 contoh soal dan pembahasan materi peluang kejadian matematika by mas min posted on may 16 2016. Misal a adalah kejadian munculnya angka prima, ruang sampel : Contoh soal faktorial from i1.wp.com.
Source: bagicontohsoal.blogspot.com
Sehingga tiap kejadian saling berpengaruh baik untuk kejadian a atau b. Tentukan peluang munculnya mata dadu ganjil dengan syarat munculnya kejadian mata dadu prima lebih dahulu. Setelah mempelajari materi tentang percobaan, ruang sampel dan peluang suatu kejadian sebagai materi awal untuk memahami materi peluang kejadian majemuk dan bersyarat. Kumpulan soal mudah, sedang &. Contoh soal kejadian bersyarat 5.
Source: contohsoalku.co
Untuk memahami peluang kejadian bersyarat, perhatikan contoh berikut dua buah dadu dilempar undi bersama, tentukan peluang muncul jumlah mata dadu lebih besar dari 9 dengan syarat dadu pertama muncul 5 penyelesaian tanpa rumus cara ini memandang syaratnya sebagai ruang sampel dan kejadiannya adalah bagian dari ruang sampel tersebut Jika kejadian b terjadi setelah kejadian a telah terjadi, maka peluang kejadian b disebut peluang bersyarat dan dinotasikan dengan. Untuk lebih jelasnya, dibawah ini diberikan beberapa contoh soal peluang bersyarat dan pembahasannya. Pada sebuah keranjang terdapat 3 bola biru, 2 bola hijau dan 5 bola merah. Sebuah kartu bisa menjadi warna hitam, kartu as maupun keduanya.
This site is an open community for users to do sharing their favorite wallpapers on the internet, all images or pictures in this website are for personal wallpaper use only, it is stricly prohibited to use this wallpaper for commercial purposes, if you are the author and find this image is shared without your permission, please kindly raise a DMCA report to Us.
If you find this site helpful, please support us by sharing this posts to your favorite social media accounts like Facebook, Instagram and so on or you can also bookmark this blog page with the title contoh soal peluang kejadian bersyarat by using Ctrl + D for devices a laptop with a Windows operating system or Command + D for laptops with an Apple operating system. If you use a smartphone, you can also use the drawer menu of the browser you are using. Whether it’s a Windows, Mac, iOS or Android operating system, you will still be able to bookmark this website.

