Contoh Soal Fungsi Invers. Fungsi f ditentukan , x ≠ 3, jika invers dari f maka (x + 1) =. Ketika fungsi umum adalah f, maka fungsi. Contoh soal fungsi invers dan jawabannya.tentukan fungsi invers dari f(x) = 2x + 1! Silakan download langsung file soal latihan fungsi komposisi di bawah dengan cara klik tombol unduh.
13. soal soal fungsi komposisi dan fungsi invers From pdfslide.tips
Fungsi f ditentukan , x ≠ 3, jika invers dari f maka (x + 1) =. Kita cari dulu invers dari f(x) dan g(x) f(x) = x + 2. A) f (x) = 2x + 3. Diketahui fx 2x 5 dan gx x 1 x 4 maka fgx a. Hal pertama yang perlu dilakukan yaitu menentukan persamaan x terlebih dahulu. Contoh soal untuk memudahka dala memahami invers, berikut ini akn kami sajikan berapa contoh soalnya, simak pembahasan berikut ini
Silakan download langsung file soal latihan fungsi komposisi di bawah dengan cara klik tombol unduh.
Tentukan fungsi invers dari h(x) = ³√x+2! Fungsi invers dalam materi pembelajaran matematika memiliki istilah lain fungsi kebalikan. Contoh soal dan pembahasan tentang fungsi invers. Hal pertama yang perlu dilakukan yaitu menentukan persamaan x terlebih dahulu. Fungsi invers terjadi sebab adanya sebuah fungsi yang dinotasikan dengan f (x) serta memiliki relasi pada setiap himpunan a ke setiap himpunan b. Selain penjelasan mengenai pengertian fungsi invers dan cara mencari fungsi invers di atas.
Source: imathsolution.blogspot.com
Contoh soal untuk memudahka dala memahami invers, berikut ini akn kami sajikan berapa contoh soalnya, simak pembahasan berikut ini Fungsi f ditentukan , x ≠ 3, jika invers dari f maka (x + 1) =. Invers dari fungsi x 43 adalah x. Contoh soal fungsi invers | matematika kelas 10 2 min read reading time: Semakin banyak berlatih materi fungsi kebalikan, kesempatan kamu untuk mengerjakan soal dengan mudah menjadi lebih besar.
Source: bermainbelajars.blogspot.com
Y = x + 2. Fungsi invers disebut juga fungsi kebalikan, yaitu fungsi yang memiliki kebalikan aksi dengan suatu fungsi. Tentukan fungsi invers dari f(x) = 2x² + 5! Demikian sedikut penjelasan tentang invers fungsi, selanjutnya akan saya berikan 13 contoh soal tentang invers fungsi beserta jawabannya. Selain penjelasan mengenai pengertian fungsi invers dan cara mencari fungsi invers di atas.
Source: matematika763.blogspot.com
Diketahui , dan adalah invers dari f, maka (x) =. Sedangkan fungsi invers dapat didefinisikan apabila fungsi f: Selain penjelasan mengenai pengertian fungsi invers dan cara mencari fungsi invers di atas. Sebuah pemetaan f:r→r dengan (g f)(x) = 2×2 + 4 x + 5 dan g(x) = 2x + 3. Demikian sedikut penjelasan tentang invers fungsi, selanjutnya akan saya berikan 13 contoh soal tentang invers fungsi beserta jawabannya.
Source: contohsoalitu.blogspot.com
Sebagai pelengkap, kali ini penulis hendak membagikan file pdf berisi kumpulan soal latihan seputar fungsi komposisi yang sudah ada jawabannya. Fungsi invers dalam materi pembelajaran matematika memiliki istilah lain fungsi kebalikan. Sinkotan seorang pekerja mendapatkan bonus bulanan yang besarnya dirumuskan sebagai fungsi dari gaji pokok di mana besarnya bonus tersebut adalah setengah gaji pokok ditambah rp 30.000,00. Invers dari fungsi x 43 adalah x. Tentukan fungsi invers dari f(x) = 2x² + 5!
Source: trigonometri-math.blogspot.com
Y = x + 2. B → a, maka fungsi g tersebut adalah invers dari f dan dapat juga dituliskan f‾¹ atau g = f ‾¹. Contoh soal dan pembahasan fungsi invers. Adapula contoh soal materi fungsi invers yang akan saya bagikan. Fungsi f ditentukan , x ≠ 3, jika invers dari f maka (x + 1) =.
Source: kolektorsoal28.blogspot.com
Salah satunya adalah penyusunan pemain sepak bola, karena fungsi invers bisa digunakan untuk mengetahui komposisi pemain dalam suatu tim. Pelajaran, soal & rumus fungsi invers kalau kebetulan kamu ingin belajar lebih tentang fungsi invers, kamu bisa menyimak video pembahasannya yang ada di sini. Contoh soal dan pembahasan fungsi invers. Kalian tahu nggak kalau fungsi invers ternyata bisa diterapkan di kehidupan nyata loh. Diketahui ( f o g ) ( x ) = 42x + 1.
Source: slideshare.net
Contoh soal dan pembahasan fungsi invers. Hal pertama yang perlu dilakukan yaitu menentukan persamaan x terlebih dahulu. Adapun contoh soal dan pembahasannya yaitu sebagai berikut: Setelahnya, kamu bisa mengerjakan kuis berupa latihan soal untuk mengasah kemampuan belajarmu. Fungsi invers dalam materi pembelajaran matematika memiliki istilah lain fungsi kebalikan.
Source: imathsolution.blogspot.com
Jika fungsi f (x) mempunyai bentuk f (x) = maka cara mudah menentukan fungsi invers dengan menggunakan rumus sebagai berikut. Invers dari fungsi x 43 adalah x. Sebuah pemetaan f:r→r dengan (g f)(x) = 2×2 + 4 x + 5 dan g(x) = 2x + 3. Tentukan fungsi invers dari h(x) = ³√x+2! Diketahui ( f o g ) ( x ) = 42x + 1.
Source: teamhannamy.blogspot.com
Sinkotan seorang pekerja mendapatkan bonus bulanan yang besarnya dirumuskan sebagai fungsi dari gaji pokok di mana besarnya bonus tersebut adalah setengah gaji pokok ditambah rp 30.000,00. Sinkotan seorang pekerja mendapatkan bonus bulanan yang besarnya dirumuskan sebagai fungsi dari gaji pokok di mana besarnya bonus tersebut adalah setengah gaji pokok ditambah rp 30.000,00. Menentukan f(x) (g f)(x) = 2×2 + 4x + 5 g(f(x)) = 2×2 + 4x + 5 2(f(x)) + 3 = 2×2 + 4x + 5 f(x) = x2 + 2x + 1. Ada baiknya sebelum belajar jauh tentang invers pahami terlebih dahulu materi fungsi tersebut. Download contoh soal fungsi komposisi dan invers pdf.
Source: slideshare.net
Rangkuman rumus turunan fungsi trigonometri trigonometri belajar matematika. Diketahui fx 2x 5 dan gx x 1 x 4 maka fgx a. Invers dari fungsi x 43 adalah x. Silakan download langsung file soal latihan fungsi komposisi di bawah dengan cara klik tombol unduh. Buat latihan sobat hitung berikut contoh soal dan jawaban invers fungsi komposisi.
Source: soalkimia.com
Fungsi invers disebut juga fungsi kebalikan, yaitu fungsi yang memiliki kebalikan aksi dengan suatu fungsi. Kalian tahu nggak kalau fungsi invers ternyata bisa diterapkan di kehidupan nyata loh. Berikut contoh soal dan jawabannya: Menentukan f(x) (g f)(x) = 2×2 + 4x + 5 g(f(x)) = 2×2 + 4x + 5 2(f(x)) + 3 = 2×2 + 4x + 5 f(x) = x2 + 2x + 1. B → a, maka fungsi g.
Source: tugasoalkelompok.blogspot.com
Salah satunya adalah penyusunan pemain sepak bola, karena fungsi invers bisa digunakan untuk mengetahui komposisi pemain dalam suatu tim. A → b memiliki relasi dengan fungsi g: Maka f(x)=… x2 + 2x + 1 x2 + 2x + 2 2×2 + x + 2 2×2 + 4x + 2 2×2 + 4x + 1. Y = x + 2. Y = 2x + 1.
Source: yuksinau.id
Invers dari fungsi , x ≠ 4/3 adalah (x) =. Setelahnya, kamu bisa mengerjakan kuis berupa latihan soal untuk mengasah kemampuan belajarmu. B → a, maka fungsi g tersebut adalah invers dari f dan dapat juga dituliskan f‾¹ atau g = f ‾¹. Hal pertama yang perlu dilakukan yaitu menentukan persamaan x terlebih dahulu. Cara menentukan fungsi invers yang pertama ialah mencari persamaan x nya dulu.
Source: jagoanbelajarprimamedica.blogspot.com
Contoh soal bentuk umum fungsi kuadrat. Tentukan fungsi invers dari h(x) = ³√x+2! A → b memiliki relasi dengan fungsi g: Fungsi limit kekontinuan turunan dan integral. Nah bagaimana cukup jelas pembahasan fungsi invers dalam rumus matematika diatas?
Source: brainly.co.id
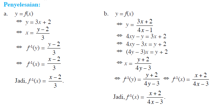
Kita cari dulu invers dari f(x) dan g(x) f(x) = x + 2. Setelahnya, kamu bisa mengerjakan kuis berupa latihan soal untuk mengasah kemampuan belajarmu. B → a, maka fungsi g tersebut adalah invers dari f dan dapat juga dituliskan f‾¹ atau g = f ‾¹. Tentukan fungsi invers dari h(x) = ³√x+2! Y = x + 2.
Source: pdfslide.tips
Pelajaran, soal & rumus fungsi invers kalau kebetulan kamu ingin belajar lebih tentang fungsi invers, kamu bisa menyimak video pembahasannya yang ada di sini. Fungsi limit kekontinuan turunan dan integral. Pelajaran, soal & rumus fungsi invers kalau kebetulan kamu ingin belajar lebih tentang fungsi invers, kamu bisa menyimak video pembahasannya yang ada di sini. Hal pertama yang perlu dilakukan yaitu menentukan persamaan x terlebih dahulu. Ada baiknya sebelum belajar jauh tentang invers pahami terlebih dahulu materi fungsi tersebut.
Source: muhar5yah.wordpress.com
Aplikasi fungsi invers contoh soal 1 (masalah gaji dan bonus): Contoh soal dan pembahasan tentang fungsi invers. Liputan6.com, jakarta pemahaman tentang fungsi invers sangat penting bagi siswa sekolah menengah atas. Invers dari fungsi x 43 adalah x. 35+ contoh soal fungsi invers.
Source: yuksinau.id
Selain penjelasan mengenai pengertian fungsi invers dan cara mencari fungsi invers di atas. Diketahui fx 2x 5 dan gx x 1 x 4 maka fgx a. Selain penjelasan mengenai pengertian fungsi invers dan cara mencari fungsi invers di atas. Fungsi limit kekontinuan turunan dan integral. Nah bagaimana cukup jelas pembahasan fungsi invers dalam rumus matematika diatas?
This site is an open community for users to submit their favorite wallpapers on the internet, all images or pictures in this website are for personal wallpaper use only, it is stricly prohibited to use this wallpaper for commercial purposes, if you are the author and find this image is shared without your permission, please kindly raise a DMCA report to Us.
If you find this site good, please support us by sharing this posts to your own social media accounts like Facebook, Instagram and so on or you can also save this blog page with the title contoh soal fungsi invers by using Ctrl + D for devices a laptop with a Windows operating system or Command + D for laptops with an Apple operating system. If you use a smartphone, you can also use the drawer menu of the browser you are using. Whether it’s a Windows, Mac, iOS or Android operating system, you will still be able to bookmark this website.




